반응 차수. 1차 반응 (first order rxn)
---------------------------------------------------
▶ 참고: 제14장 화학 반응 속도론. 목차
[ https://ywpop.tistory.com/12739 ]
---------------------------------------------------
A → P(product)
반응에서,

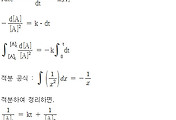
1차 반응 속도식
ln([A]_t / [A]_0) = –k•t
또는
ln(C_t / C_0) = –k•t
( 참고 https://ywpop.tistory.com/26 )
> C_t / C_0 = e^(–k•t)
> C_t = e^(–k•t) × C_0
> N_t = e^(–k•t) × N_0
(2)식은 y = mx + b 형태의 선형방정식과 유사.
그래프를 그려보면,
① 1차 반응임을 알 수 있고, (그래프법)
② 기울기로부터 속도 상수(k)를 구할 수 있다.

[그림] ln[A] vs. t 그래프.
오른쪽 아래로 내려가는 직선이 그려지면, 1차 반응.
직선이 음(–)의 기울기이므로, k = –slope.
( 참고: 오른쪽 위로는 2차 반응 https://ywpop.tistory.com/25 )
( 참고: 1차 반응 2차 반응 그래프 https://ywpop.tistory.com/21 )
반응물이 기체 상태인 경우,
농도항 = 압력항 (∵ PV = nRT, C = n/V = P/RT)
ln(P_t / P_0) = –k•t
lnP_t = –k•t + lnP_0
1차 반응인지 아닌지를 확인하는 또 다른 방법
→ 반감기(half-life, t_1/2) 측정
▶ 반감기
> 반응물의 농도가 초기 농도의 반(1/2)이 되는데 걸리는 시간


t_1/2 = ln(2) / k = 0.693 / k
---> 반감기 식에 농도 항이 없으므로,
---> 1차 반응의 반감기는 반응물의 초기 농도와 무관.
▶ 속도 상수의 단위
> 1차 반응: 1/시간, 1/sec, s^-1
> 2차 반응: 1/(농도×시간), 1/(M•sec), M^-1•s^-1
> 0차 반응: 농도/시간, M/sec, M•s^-1, mol/(L•s)
( 참고 https://ywpop.tistory.com/22829 )
▶ 적분 속도식: 0차 반응 [ https://ywpop.tistory.com/6434 ]
▶ 적분 속도식: 1차 반응 [ https://ywpop.tistory.com/26 ]
▶ 적분 속도식: 2차 반응 [ https://ywpop.tistory.com/25 ]
[참고] 방사성 붕괴는 1차 반응
[ 관련 예제 https://ywpop.tistory.com/19879 ] 4.60 g 플루토늄이 10.0% 붕괴하는데 천년이 걸린다.
ln(N_t / N_0) = –k•t
t = –ln(N_t / N_0) / k
N_t = N_0 × e^(–k × t)
N_0 = N_t / e^(–k × t)
[ https://ywpop.blogspot.com/2024/05/blog-post_24.html ]
[ 관련 글 https://ywpop.tistory.com/471069 ]
1차 반응에서 반응개시의 물질 농도가 220 mg/L 이고, 반응 1시간 후에 농도는 94 mg/L이었다면 반응 8시간 후의 물질의 농도는?
[ 관련 예제 https://ywpop.tistory.com/16215 ] ln(C_t / C_0) = –k•t
초기 농도가 150 mg/L인 오염물질이 5시간 후에 20 mg/L로 감소하였다면,
2시간 후의 농도(mg/L)는?
[ 관련 예제 https://ywpop.tistory.com/22112 ] 1차 반응. 반응시작 200 mg/L 1시간후 83.6 mg/L 2시간후는?
[ 관련 예제 https://ywpop.tistory.com/23154 ] 1차 반응. 초기농도 354 ppm 반감기 20초 처리기준 1 ppm
[키워드] 적분형 기준문서, 적분형 속도법칙 기준문서, 적분형 반응속도 기준문서, 적분형 반응속도식 기준문서, 반응차수 기준문서, 1차 반응 기준문서, 1차 반응속도 기준문서, 반감기 기준문서, 적분 속도식 기준문서, 1차 반응 사전, 1차 반응속도 사전, 반감기 사전, 붕괴 사전, 1차 반응속도식 기준문서, 1차 반응속도식 사전, 일차 반응 기준문서, 일차 반응 사전
'일반화학 > [14장] 화학반응 속도론' 카테고리의 다른 글
| Arrhenius(아레니우스) 식. 속도 상수와 활성화 에너지 (1) | 2015.10.26 |
|---|---|
| 실험 자료로부터 속도 법칙 구하기. 초기 속도법 (0) | 2015.07.03 |
| [화학 반응 속도] 시계 반응 실험 ★ (0) | 2014.07.11 |
| 반응 속도. reaction rate. 평균 반응 속도 ★ (7) | 2014.07.08 |
| 활성화 에너지 (activation energy, Ea) (0) | 2012.07.02 |
| 반응 차수. 그래프를 이용한 1차와 2차 반응의 구별법 (0) | 2012.06.30 |
| 반응 차수. 2차 반응 (second order rxn) ★ (0) | 2012.06.29 |
| 속도 법칙(rate law)과 반응 차수(reaction order) ☆ (0) | 2012.06.27 |
댓글