본문 바로가기
반응형

중등수학27

물건을 팔면 원가의 25% 이익 8% 할인 420원 이익 물건을 팔면 원가의 25% 이익 8% 할인 420원 이익 어떤 물건을 팔면 원가의 25%의 이익을 보지만,정가에서 8%를 할인하여 팔면 420원의 이익을 본다.이 물건의 원가는 얼마인가? ------------------------ 25% 이익이면,이익 = 원가 × (25/100) 정가 = 원가 + 이익= 원가 + (원가 × (25/100))= 원가 × (1 + (25/100))= 원가 × 1.25= 원가 × (125/100)= 원가 × 125%---> 정가 = 원가 × (125/100) 정가에서 8% 할인하면,할인가 = 정가 × 92%= 정가 × (92/100)= (원가 × (125/100)) × (92/100)= 원가 × (125/100) × (92/100.. 2025. 7. 15.
28에서 12.5% 증가하면 얼마인가? 28에서 12.5% 증가하면 얼마인가?28에서 12.5% 감소하면 얼마인가?       ① 처음 값의 % 값 계산28 × (12.5/100) = 3.5 또는28 × 0.125 = 3.5       ② 처음 값 + % 값28 + 3.5 = 31.5---> 28에서 12.5% 증가한 값       ③ 처음 값 – % 값28 – 3.5 = 24.5---> 28에서 12.5% 감소한 값         [참고] 퍼센트의 정의25% = (25 / 100) × 100---> 100개 중 25개( 참고 https://ywpop.tistory.com/2656 )         [키워드] 몇 프로 증가 기준, 몇 프로 감소 기준, 몇 % 증가 기준, 몇 % 감소 기준 2024. 11. 25.
두 점을 지나는 직선의 방정식 두 점을 지나는 직선의 방정식 --------------------------------------------------- (x1, y1), (x2, y2), 두 점을 지나는 직선의 방정식y – y1 = [(y2 – y1) / (x2 – x1)] × (x – x1) 예) (x1, y1), (x2, y2) = (0, 0.99823), (100, 0.78934) y – y1 = [(y2 – y1) / (x2 – x1)] × (x – x1) y – 0.99823 = [(0.78934 – 0.99823) / (100 – 0)] × (x – 0) y = –0.0020889x + 0.99823 [검산]y = –0.0020889x + 0.99823= –0.00208.. 2023. 4. 28.
0.335 = x / (0.0635–x) 계산 0.335 = x / (0.0635–x) 계산 --------------------------------------------------- a = x / b a × b = x 0.335 = x / (0.0635–x) 0.335 × (0.0635–x) = x a × (b – x) = ab – ax x = (0.335) (0.0635) – 0.335x x + 0.335x = (0.335) (0.0635) 1.335x = (0.335) (0.0635) x = (0.335) (0.0635) / 1.335 = 0.0159 2021. 6. 2.
[중학교 수학] 지수 계산 [중학교 수학] 지수 계산   ------------------------               [예제](10^(9)) × (10^(-6)) × (10^(-4))= 10^[(9) + (-6) + (-4)]= 10^(-1)         [ 관련 글 https://ywpop.tistory.com/3121 ]환산 인자 (conversion factor). 단위소거법   [ 관련 글 https://ywpop.tistory.com/89 ]측정 단위. SI 단위       [키워드] 지수 기준, 지수 계산 기준, 지수 곱셈 기준, 지수 곱하기 기준, 중학교 수학 기준 2020. 7. 17.
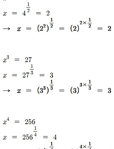
x의 제곱, x의 세제곱, x의 네제곱 x의 제곱, x의 세제곱, x의 네제곱 --------------------------------------------------- x^2 = 4 양변에 (1/2)씩 곱하면,x^(2 × 1/2) = 4^(1/2) x = (4)^(1/2) = 2---> x = (2^2)^(1/2) = 2 x^3 = 27 양변에 (1/3)씩 곱하면,x^(3 × 1/3) = 27^(1/3) x = (27)^(1/3) = 3---> x = (3^3)^(1/3) = 3 x^4 = 256 양변에 (1/4)씩 곱하면,x^(4 × 1/4) = 256^(1/4) x = (256)^(1/4) = 4---> x = (4^4)^(1/4) = 4 [키워드] x의 제곱 기준문서, 자연수의 거듭제곱 기준문서 2020. 2. 16.
파이프에 저장할 수 있는 물의 부피 파이프에 저장할 수 있는 물의 부피 지름 165 mm, 두께 3t, 길이 3500 mm인 파이프에 저장할 수 있는 물의 부피 --------------------------------------------------- ▶ 원기둥의 부피 공식, V = πr^2h 반지름(r)을 계산하면, 165 / 2 = 82.5 mm [1] 지름 = 안지름(내경)이면, V = πr^2h = (3.14) (8.25 cm)^2 (350 cm) = 74801 cm^3 = 74801 mL = 74.8 L [2] 지름 = 바깥지름(외경)이면, r = 82.5 mm – 3 mm = 79.5 mm V = (3.14) (7.95 cm)^2 (350 cm) = 69460 cm^3 = 69460 mL = 69.5 L [ 참고: 1 cc =.. 2019. 2. 27.
내항의 곱 = 외항의 곱 내항의 곱 = 외항의 곱 비례식에서안쪽에 있는 두 항을 ‘내항’,바깥쪽에 있는 두 항을 ‘외항’이라고 한다. 비례식에서 내항의 곱과 외항의 곱은 같다. 비례식 A : B = C : D 에서,B × C = A × D [증명]1 : 3 = 4 : 12 3 × 4 = 1 × 12 = 12 [예제]36 : 30 = ? : 15 [풀이]30 × ? = 36 × 15 ? = 36 × 15 / 30 = 18 [ 관련 글 https://ywpop.tistory.com/11350 ]화학량론. Fe : S = 2 : 3 계수비(= 몰수비) [키워드] 내항의 곱 기준, 내항끼리의 곱 기준, 내항의 곱 사전,.. 2019. 2. 11.
중학교 수학. 소금물의 농도 계산 중학교 수학. 소금물의 농도 계산 [1] 8% 소금물 400 g이 있는데,여기에 물을 섞어서 5% 소금물을 만들려고 한다.몇 g의 물을 섞어야 하는가?[ https://ywpop.tistory.com/12774 ] [2] 3% 소금물 200 g에서 몇 g 이상의 물을 증발시키면4% 이상의 소금물이 되겠는지 구하여라.[ https://ywpop.tistory.com/10478 ] [3] 농도가 5%인 소금물 200 g에 소금을 넣고,넣어준 소금의 양만큼 물을 증발시켜서농도가 7% 이상이 되게 하려고 한다.이때 더 넣어준 소금의 양은 최소 몇 g인지 구하여라.[ https://ywpop.tistory.com/9517 ] [4] A컵에는 6%의 소금물이 3.. 2019. 1. 15.
3% 소금물 200 g을 증발시켜 4% 소금물로 3% 소금물 200 g을 증발시켜 4% 소금물로     3% 소금물 200 g에서몇 g 이상의 물을 증발시키면4% 이상의 소금물이 되겠는지 구하여라.       3% 소금물 200 g에 들어있는소금의 질량을 계산하면,3% = (? g 소금 / 200 g 소금물) × 100( 참고 https://ywpop.tistory.com/2656 )   ? = 3 / 100 × 200 = 6 g 소금       소금물을 증발시켜도소금의 양은 변하지 않는다.   6 g 소금을 포함하는4% 소금물의 질량을 계산하면,4% = (6 g 소금 / ? g 소금물) × 100   ? = 6 / 4 × 100 = 150 g 소금물       소금의 양은 변하지 않으므로,200 g 소금물 – 150 g 소금물 = 50 g .. 2019. 1. 10.
반응형