반응 속도. reaction rate. 평균 반응 속도
---------------------------------------------------
▶ 참고: 제14장 화학 반응 속도론. 목차
[ https://ywpop.tistory.com/12739 ]
---------------------------------------------------
반응 떼고, 우선 ‘속도’의 정의부터 알아보자.
속도란? “단위 시간당 위치의 변화량”으로 정의한다.
예를 들면, ‘자동차’ 속도는
“단위 시간당 거리의 변화량 (km/hr)”으로 나타낸다.
이제 ‘반응 속도’를 정의하면,
반응 속도란?
“단위 시간당 농도의 변화량 (M/s)”으로 정의할 수 있다.
다음과 같은 일반적인 화학 반응에서,
반응물 → 생성물
화학 반응이 진행되면,
시간에 따라 반응물의 양은 감소하고, 생성물의 양은 증가한다.
이 설명을 추가하여 반응 속도를 다시 정의하면,
반응 속도란?
“시간에 따른 반응물(또는 생성물)의 농도 변화량 (M/s)”
으로 정의할 수 있다.
다음과 같은 간단한 반응에 대해,
위 정의에 따라 반응 속도를 식으로 나타내면,
[1] A → B

▶ 반응물로 나타낸 (1)식에서 ‘–’ 부호는
속도 값을 양수(+)로 만들기 위해 ‘그냥’ 붙인 것이다.
> 시간이 지남에 따라 반응물의 농도는 감소하기 때문에,
나중 농도에서 처음 농도를 뺀 값(Δ)은 음수(–)가 된다.
그러면 속도 역시 음수(–)가 되는데,
일반적으로 속도가 음수(–)라는 개념은 다루기 불편하다.
---> 그래서 ‘–’ 부호를 ‘그냥’ 붙인 것이다.
[‘–’ 부호 추가 설명]
[ https://ywpop.blogspot.com/2023/10/00048-mol-ph3-consumed-in-20-l-container.html ]
▶ (1)식과 (2)식은 한 반응(같은 반응)에 대한 속도 식이기 때문에,
(1)식과 (2)식으로 구한 속도 값은 같다 (같아야만 한다).
▶ 속도 식을 보면 알겠지만,
이 반응 속도는 일정 시간 동안 평균한 ‘평균 속도’임을 기억하자.
다음 경우는 어떨까?
[2] 2A → B
이 반응에서는 B 1개가 생성될 때, A 2개가 소모된다.
즉, A 소모 속도는 B 생성 속도의 2배이다.
반응물로 나타내든, 생성물로 나타내든,
한 반응(같은 반응)에 대한 속도 값은 같기 때문에,
( 같아야 하기 때문에, )
속도 식은 다음과 같이 나타낼 수 있다.

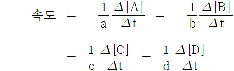
[1], [2] 설명을 종합 정리하면,
다음과 같은 일반적인 반응에 대한 반응 속도는
[3] aA + bB → cC + dD
다음과 같이 나타낼 수 있다.

---> 반응물 또는 생성물 중에서
어느 한 물질의 농도 변화를 추적하면,
반응 속도를 구할 수 있다.
( ★★★★★ 이 속도 식은
어느 ‘1개’ 물질의 농도 변화로 나타낸다는 것에 주목할 것. )
---------------------------------------------------
예제) A → B 반응에서, 시간에 따른 각 물질의 농도 값은 다음과 같다.
| 0초 | 20초 | 40초 | |
| A | 1.00 M | 0.54 M | 0.30 M |
| B | 0 M | 0.46 M | 0.70 M |
20초가 지났을 때, 이 반응의 속도를 구하시오.
풀이)

∴ A의 평균 속도 = B의 평균 속도
---> 반응물 A의 속도도 양수(+), 생성물 B의 속도도 양수(+).
해설) 반응물 또는 생성물 중에서 어떤 물질을 선택하더라도,
각 물질의 농도 변화량으로 구한 속도 값은 모두 같다.
[ 이어지는 글 https://ywpop.tistory.com/30 ] 속도 법칙(rate law)과 반응 차수(reaction order)
[키워드] 반응 속도 기준문서, 반응 속도 사전
'일반화학 > [14장] 화학반응 속도론' 카테고리의 다른 글
| 속도법칙과 속도상수 구하기 (0) | 2015.10.26 |
|---|---|
| Arrhenius(아레니우스) 식. 속도 상수와 활성화 에너지 (1) | 2015.10.26 |
| 실험 자료로부터 속도 법칙 구하기. 초기 속도법 (0) | 2015.07.03 |
| [화학 반응 속도] 시계 반응 실험 ★ (0) | 2014.07.11 |
| 활성화 에너지 (activation energy, Ea) (0) | 2012.07.02 |
| 반응 차수. 그래프를 이용한 1차와 2차 반응의 구별법 (0) | 2012.06.30 |
| 반응 차수. 2차 반응 (second order rxn) ★ (0) | 2012.06.29 |
| 반응 차수. 1차 반응 (first order rxn) ★ (0) | 2012.06.28 |
댓글