평형 상수 (equilibrium constant), K
---------------------------------------------------
▶ 참고: 제15장 화학 평형. 목차
[ https://ywpop.tistory.com/15313 ]
---------------------------------------------------
평형 상수(K) = 평형에서 생성물의 농도 / 평형에서 반응물의 농도
---> 이렇게 평형상수를 나타내자고 약속(정의)했다.
( 참고: 반응 속도식에서 탄생한 평형상수 https://ywpop.tistory.com/22271 )

aA + bB ⇌ cC + dD
Kc = [C]^c [D]^d / [A]^a [B]^b
“평형 상수식”은 화학량론에만 의존, 반응 메커니즘과는 무관.
⇨ 균형 맞춘 화학 반응식만 알면, 평형 상수식을 바로 쓸 수 있다.

“평형 상수”는 평형에서의 농도를 “측정”하여
평형 상수식에 대입하여 계산한 “실험값”이다.
( 참고: 평형상수의 이론적 계산 https://ywpop.tistory.com/4154 )

( 참고: 물리적 상태 표시 https://ywpop.tistory.com/8165 )

[예제] CO(g) + 2H2(g) ⇌ CH3OH(g)
[ https://ywpop.tistory.com/11441 ]

[예제] SO2(g) + Cl2(g) ⇌ SO2Cl2(g)

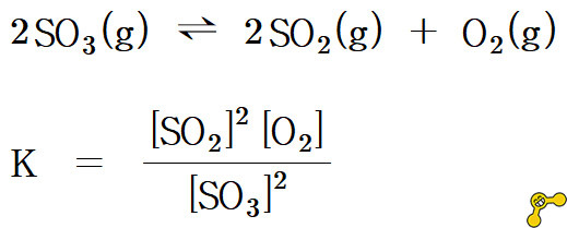
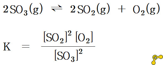
[예제] 2SO3(g) ⇌ 2SO2(g) + O2(g)
K = [SO2]^2 [O2] / [SO3]^2

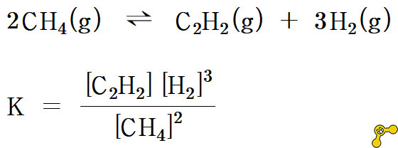
[예제] 2CH4(g) ⇌ C2H2(g) + 3H2(g)
K = [C2H2] [H2]^3 / [CH4]^2

[예제] 2C8H18(l) + 25O2(g) ⇌ 16CO2(g) + 18H2O(g)
Kc = [CO2]^16 [H2O]^18 / [O2]^25

[예제] 2PH3(g) ⇌ P2(g) + 3H2(g)
Kp = [(P_P2) (P_H2)^3] / (P_PH3)^2

( 참고 https://ywpop.tistory.com/16742 )
[예제] N2(g) + O2(g) ⇌ 2NO(g)
Kp = (P_NO)^2 / [(P_N2) (P_O2)]

( 참고 https://ywpop.tistory.com/16879 )

( 참고 https://ywpop.tistory.com/22632 )
2NO(g) = N2(g) + O2(g) ICE table


[ 관련 예제 https://ywpop.tistory.com/22805 ] CO(g) + H2O(g) ⇌ CO2(g) + H2(g)

[ 관련 글 https://ywpop.tistory.com/470785 ]
분압과 농도, 둘 다 같은 평형상수 식에 있을 수 있는가?
[ 관련 글 https://ywpop.tistory.com/470858 ]
ICE 도표 작성하기. ICE 도표 작성하는 방법
[ 관련 글 https://ywpop.tistory.com/15323 ] 약산과 산 해리 상수, Ka
[ 관련 글 https://ywpop.tistory.com/15325 ] 약염기와 염기 해리 상수, Kb
[ 관련 글 https://ywpop.tistory.com/4386 ] 평형상수 K, 형성상수 Kf, 용해도곱상수 Ksp의 차이. 평형상수의 종류.
[ 관련 글 https://ywpop.tistory.com/7821 ] 평형상수의 단위는 없다
[ 관련 글 https://ywpop.tistory.com/3760 ] 순수한 액체와 고체의 농도가 평형 상수 표현에 포함되지 않는 이유
[ 관련 글 https://ywpop.tistory.com/13022 ] 평형상수의 온도의존성. 반트호프 식.
[ 관련 글 https://ywpop.tistory.com/10336 ] 비표준 상태에서의 ΔG. ΔG°와 K 관계.
[ 관련 예제 https://ywpop.tistory.com/12909 ] N2 + 3H2 ⇌ 2NH3 평형상수 계산. 0.120 mol NH3, 1.03 mol N2, 1.62 mol H2
[키워드] 평형 상수 기준, 평형 상수식 기준, 평형 상수의 정의 기준, 평형 상수의 개념 기준, 평형 상수 사전, 평형 상수식 사전, 평형상수 식 기준, 평형상수 식 사전, 평형상수 경전, 평형상수식 경전
'일반화학 > [15장] 화학 평형' 카테고리의 다른 글
| 르샤틀리에 원리. 암모니아 합성 시 부피 변화 (0) | 2017.12.23 |
|---|---|
| 395 K에서 NH4HS(s) ⇌ NH3(g) + H2S(g) 반응의 Kp와 Kc (0) | 2017.12.14 |
| 2000℃ Kc 2.4×10^3 2NO(g) ⇌ N2(g) + O2(g) 0.175 M (0) | 2017.10.20 |
| 평형상수와 용해도곱상수 (0) | 2017.06.18 |
| 평형상수 식에서 순수한 고체, 액체, 용매의 농도는 1 (0) | 2017.05.06 |
| 화학 평형. chemical equilibrium ★ (0) | 2017.03.10 |
| Kp와 Kc의 관계. Kc와 Kp의 관계 ★ (1) | 2017.02.09 |
| H2(g) + I2(g) ⇌ 2HI(g) Kc 54.3 at 430℃ H2 0.750 mol 1.00 L (0) | 2016.11.24 |
댓글