N2와 N2^+의 질소-질소 결합길이
N2와 N2^+ 중 질소-질소 결합길이가 더 짧은 것은?
MOT에서 공유 결합의 안정도는 결합 차수로 나타낼 수 있다.
공유 결합의 안정도 ∝ 결합 차수
( 참고: 결합차수 https://ywpop.tistory.com/6879 )

[그림] MO Diagrams for N2 and N2^+.
결합차수 = (결합성 MO 전자 수 – 반결합성 MO 전자 수) / 2
s 오비탈 전자는 서로 상쇄되므로, p 오비탈 전자만 계산하면,
> N2의 결합차수 = (6 – 0) / 2 = 3
> N2^+의 결합차수 = (5 – 0) / 2 = 5/2
결합차수와 결합길이는 반비례하므로,
( 참고 https://ywpop.tistory.com/10143 )
( 결합차수가 클수록 더 안정한(강한) 결합, 그만큼 결합길이는 짧다. )
( 단일결합보다는 다중결합의 결합길이가 짧다. )
N2의 결합길이가 더 짧다.
( 참고: 결합 엔탈피 https://ywpop.tistory.com/2558 )
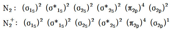
[참고] MO configuration
> N2의 전자배치: (σ_1s)^2 (σ*_1s)^2 (σ_2s)^2 (σ*_2s)^2 (π_2p)^4 (σ_2p)^2
> N2^+의 전자배치: (σ_1s)^2 (σ*_1s)^2 (σ_2s)^2 (σ*_2s)^2 (π_2p)^4 (σ_2p)^1

[ 관련 예제 https://ywpop.tistory.com/13003 ]
다음 중 결합 차수가 가장 큰 것은?
1) N2^2-
2) N2^-
3) N2
4) N2^+
[ 관련 글 https://ywpop.tistory.com/2906 ] 분자 오비탈 전자 배치. 질소 분자(N2)와 질소 이온(N2^+)
[ 관련 글 https://ywpop.tistory.com/5305 ] MO Diagrams of B2, C2, N2
[키워드] MO of N2 기준, N2의 MO 기준, N2의 분자오비탈 기준, MO of N2 dic
[Google 검색 실적] 2024년 5월 인기 상승 페이지
'일반화학 > [09장] 분자의 기하구조와 결합 이론' 카테고리의 다른 글
| H2^+의 분자 오비탈(MO)과 결합 차수 (1) | 2016.05.27 |
|---|---|
| MO Diagrams of B2, C2, N2 (0) | 2016.05.25 |
| 오존(Ozone, O3)의 루이스 구조 ★ (3) | 2016.05.22 |
| 아질산, HNO2의 루이스 구조 그리기 (0) | 2016.05.16 |
| 왜 정사면체는 쌍극자모멘트가 0인가요? (0) | 2015.09.02 |
| SOCl2 루이스 구조 그리기 (0) | 2015.07.13 |
| CS2 루이스 구조 그리기 (0) | 2015.07.11 |
| 클로로포름(Chloroform, CHCl3)의 루이스 구조 (0) | 2015.07.11 |
댓글