온도 변환. 온도 환산
▶ 참고: 온도 환산 사이트. 온도 변환 사이트
[ https://www.metric-conversions.org/temperature/ ]

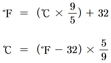
[1] 섭씨온도를 화씨온도로 환산
℉ = (℃ × 1.8) + 32
예) 25℃를 ℉로 환산하면,
℉ = (25 × 1.8) + 32 = 77℉
[2] 화씨온도를 섭씨온도로 환산
℃ = (℉ – 32) / 1.8
예) 77℉를 ℃로 환산하면,
℃ = (77 – 32) / 1.8 = 25℃
[3] 섭씨온도를 절대온도로 환산
K = 273.15 + ℃ 또는 간단히
K = 273 + ℃
예) 25℃를 K로 환산하면,
K = 273 + ℃ = 273 + 25 = 298 K
예) 300 K를 섭씨로 환산하면,
℃ = K – 273 = 300 – 273 = 27℃
[참고] 섭씨온도 1℃와 절대온도 1 K의 간격은 같다.
예) 25 ℃와 30 ℃의 차이
① Δ℃ = 30 – 20 = 5 ℃
② 273 + 25 = 298 K
③ 273 + 30 = 303 K
④ ΔK = 303 – 298 = 5 K
---> Δt = 5
예) 물의 비열
4.2 J/g•℃ = 4.2 J/g•K
[4] 화씨온도를 절대온도로 환산
화씨 → 절대온도 환산은
화씨 → 섭씨 → 절대온도 순으로 환산하고,
K = [(℉ – 32) / 1.8] + 273.15
절대온도 → 화씨 환산은
절대온도 → 섭씨 → 화씨 순으로 환산한다.
℉ = [(K – 273.15) × 1.8] + 32
[5] 랭킨온도를 절대온도로 환산
> °R = K × 1.8 = K × (9/5)
> K = °R / 1.8
[ 관련 글 https://ywpop.blogspot.com/2024/03/convert-celsius-to-rankine-30-r.html ]
Convert Celsius to Rankine. 30℃를 °R로 환산

[그림] 온도 환산 인자.
( 참고: 온도 환산 인자 https://ywpop.tistory.com/17078 )
[ 관련 글 https://ywpop.tistory.com/471289 ]
Δ℉ = 10일 때, Δ℃는 얼마인가?
[추가된 내용] 유효숫자를 고려한 온도환산 예제
[ https://ywpop.tistory.com/20875 ] 98.6℉를 섭씨 및 Kelvin 온도로
[ https://ywpop.tistory.com/20737 ] 아픈 아이의 체온 40.00℃를 K와 ℉로
[ https://ywpop.tistory.com/20736 ] 갈륨의 녹는점 85.6℉를 ℃와 K로
[ https://ywpop.tistory.com/21040 ] 완전수가 포함된 연산
[참고] 섭씨온도 <-> 절대온도 환산인자는
(1 ℃ / 1 K) 또는 (1 K / 1 ℃) 이고,
섭씨온도 <-> 화씨온도 환산인자는
(1 ℃ / 1.8 ℉) 또는 (1.8 ℉ / 1 ℃) 이다.
> 물의 어는점과 끓는점 사이를 180등분 → 화씨(°F)
> 물의 어는점과 끓는점 사이를 100등분 → 섭씨(°C)
---> 화씨 1.8도 변한 것은 섭씨 1도 변한 것과 같다.
[ 관련 예제 https://ywpop.tistory.com/17514 ] 사과 온도 1℃ 떨어질 때 3.6 kJ 열손실. 1℉ 떨어질 때 사과의 열손실량
[ 관련 예제 https://ywpop.tistory.com/12043 ] 1.0 Btu/hr•ft^2•(℉/ft)를 kJ/day•m^2•(℃/cm)로 환산
[ 관련 글 https://ywpop.tistory.com/3212 ] 유효숫자와 완전수
[ 관련 글 https://ywpop.tistory.com/3121 ] 환산 인자
[ 관련 예제 https://ywpop.tistory.com/24629 ] 갈륨 온도계
갈륨의 녹는점: 29.78 ℃ ---> 0 °G
갈륨의 끓는점: 2204 ℃ ---> 1000 °G
[ 관련 글 https://ywpop.blogspot.com/2024/03/x-220-x.html ]
온도 환산. ℃와 °X 사이의 관계식 유도
10 ℃ ---> 0 °X
130 ℃ ---> 50 °X
[키워드] 온도변환 기준, 온도환산 기준, 섭씨를 화씨로 기준, 화씨를 섭씨로 기준, 섭씨를 절대온도로 기준, 절대온도를 섭씨로 기준, 섭씨를 켈빈온도로 기준, 켈빈온도를 섭씨로 기준, 섭씨온도를 절대온도로 기준, 절대온도를 섭씨온도로 기준, 섭씨온도를 켈빈온도로 기준, 켈빈온도를 섭씨온도로 기준, 온도환산 사전, 온도 환산 사전
'일반화학 > [01장] 서론: 물질과 측정' 카테고리의 다른 글
| 물질(matter). 물질의 정의 ★ (0) | 2017.05.14 |
|---|---|
| 과학적 표기법. scientific notation ★ (0) | 2017.04.14 |
| 단위환산. 1.5 lb 금괴의 부피(cm3) (1) | 2017.04.10 |
| 금(Au) 원자 1개의 부피 (0) | 2017.03.22 |
| 파스칼(압력 단위) 정의. 파스칼 유도 (1) | 2017.03.08 |
| 물의 밀도 단위환산. 1 g/mL = 62.43 lbs/ft3 (0) | 2016.09.06 |
| 단위 환산. 파장(μm)을 파수(cm-1)로, 파수를 파장으로 (6) | 2016.09.01 |
| 단위 환산. 6.3 kg/m3 를 g/cm3 로 환산 (0) | 2016.08.17 |
댓글