환산 인자 (conversion factor)
> 단위소거법
---------------------------------------------------
▶ 참고: 제1장 물질과 측정. 목차
[ https://ywpop.tistory.com/15181 ]
---------------------------------------------------

▶ 단위 환산 문제에서, 환산 인자 개념을 이해하고 있으면,
어떤 단위라도 다른 단위로 쉽게 환산할 수 있다.
▶ 환산 인자
> 같은 물리량을 분모와 분자에 각각 다른 단위로 표시한 분수
예) 2.54 cm = 1 in. ... ⇨ ... 두 개의 환산 인자를 만들 수 있다.

수학적으로 보충 설명하면 다음과 같다.

예제 1) 8.50 in.는 몇 cm?
---------------------------------------------------

두 개의 환산 인자 중에서, “주어진 단위”와 곱할 때,
“주어진 단위”가 소거(제거)될 수 있는 환산 인자 사용.

중에서...


환산 인자가 1개뿐인 계산은 비례식으로도 계산 가능하다.
1 in : 2.54 cm = 8.50 in : ? cm
? = 2.54 × 8.50 = 21.6 cm
※ 주목: 유효 숫자를 결정할 때, 환산 인자는 포함(고려)하지 않는다.
8.50 in. (= 3개) ... ⇨ ... 21.6 cm (= 3개)
( 측정값인 8.50의 유효 숫자에 맞춰, 21.6 )
예제 2) 질소분자의 평균 속력이 515 m/s 일 때, mi/hr 로 바꾸시오.
(1 mi = 1.6093 km)
---------------------------------------------------
환산해야할 단위가 2개 이상일 경우에는
하나씩 순차적으로 환산하면 된다.
m → km → mi → s → min → hr
이때도 오로지
“주어진 단위”가 소거(제거)될 수 있는 환산 인자 사용.
이것만 생각하면 된다.

예제 3) 36 km/hr은 몇 m/sec인가?
---------------------------------------------------
1 km = 1000 m 이고,
1 hr = 60 min = 3600 sec 이므로,
(36 km/h) × (1000 m / 1 km) × (1 hr / 3600 sec)
= (36) × (1000) × (1 / 3600) = 10 m/sec
예제 4) 15 m/s은 몇 km/h인가?
---------------------------------------------------
(15 m/s) (1 km / 1000 m) (3600 s / 1 h)
= (15) (1 / 1000) (3600) = 54 km/h
예제 5) 금의 밀도는 19.3 g/mL이다. 25.0 mL 금의 질량은 몇 g인가?
---------------------------------------------------
25.0 mL × (19.3 g / 1 mL) = 483 g
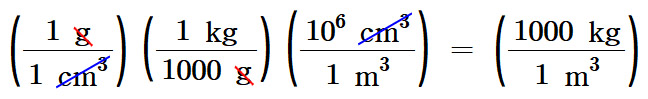
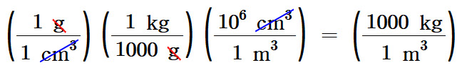
[ 관련 예제 https://ywpop.tistory.com/20744 ] 10.5 g/cm3를 kg/m3로

[ 관련 예제 https://ywpop.tistory.com/12936 ] 점도 6 cP를 kg/m•hr로 환산

[ 관련 글 https://ywpop.tistory.com/472060 ]
mg/L를 meq/L로 환산

[화학량론적으로 동등하다 = 환산 인자]
[ https://ywpop.tistory.com/12996 ]
[ 관련 예제 https://ywpop.blogspot.com/2023/11/430-mol-c3h8-o2-mol.html ]
4.30 mol C3H8 반응에 필요한 O2의 mol수
---> 화학량론적 계산에 환산 인자 사용
---> 비례식 대신에 환산 인자를 사용해서 화학량론적 계산
[참고] n = W / M 공식 대신 ‘환산 인자’ 또는 ‘단위 소거법’으로 계산하기
[ 블로그스팟 https://ywpop.blogspot.com/2024/01/84-gmol-42-g.html ]
[참고] 환산인자는 따로 외울 필요가 없다.
1 m = 100 cm, 1 kg = 1000 g 등과 같은
SI prefixes(SI 접두어)와 관련된 환산인자는
( 참고: SI prefixes https://ywpop.tistory.com/2328 )
과학적 상식(?)이기 때문에 따로 암기해야 하지만,
1 inch = 2.54 cm 와 같은 환산인자는
따로 외울 필요가 없다.
시험이라면 문제 지문에서 주어질 것이다.
이걸 외우라고 요구하는 문제 출제자는
과학적 상식이 결여된 사람이다.

[참고] 환산인자는 완전수이다.
환산인자 관계식에 나오는 숫자는 전부 완전수이므로,
( 참고: 완전수 https://ywpop.tistory.com/3212 )
유효숫자를 고려한 계산 시,
환산인자의 유효숫자(개수 또는 자리수)는 고려할 필요가 없다.
[참고] 단위를 보면 계산식이 보인다.
환산인자(단위소거법)에 익숙해지면,
공식에 근거한 화학량론적인 계산을 할 때
공식을 전혀 몰라도 계산이 가능하다.
계산 방법은 문제에서 요구하는 단위가 나오도록,
주어진 자료들을 환산인자처럼 처리하면 된다.
예를 들어, 문제에서 요구하는 답의 단위가 mg/L 이면,
다른 단위는 모두 소거되고 mg/L 만 남도록
주어진 자료들을 환산인자처럼 처리하는 것이다.
[ 관련 예제 https://ywpop.tistory.com/17151 ] 교통밀도 6000대/hr, 차량평균속도 95 km/hr 0.2×10^(-2) g/sec•대
[ 관련 글 https://ywpop.tistory.com/2328 ] SI prefixes

[ 관련 글 https://ywpop.tistory.com/search/환산인자 ] 단위환산
[ 관련 글 https://ywpop.tistory.com/22440 ] 질량 환산
[ 관련 글 https://ywpop.tistory.com/20863 ] 길이 환산
[ 관련 글 https://ywpop.tistory.com/17461 ] 부피 환산
[ 관련 글 https://ywpop.tistory.com/6662 ] 온도 환산
[키워드] 환산인자 기준, 단위환산 기준, 단위소거법 기준, 환산인자 사전, 환산인자 경전, 단위소거법 사전
'일반화학 > [01장] 서론: 물질과 측정' 카테고리의 다른 글
| 점도 환산. 15.9 cP를 kg/m•s로 ★ (0) | 2015.11.05 |
|---|---|
| 환산 인자를 이용한 단위 환산 (0) | 2015.10.28 |
| 점도 단위 환산. 0.52 g/cm•sec를 lb/ft•hr 단위로 (0) | 2015.09.09 |
| 물질의 분류, Classification of Matter (1) | 2015.06.18 |
| 밀도와 비중 ★★ (7) | 2014.10.25 |
| 물질의 분류 (물질의 물리화학적 성질에 따라) ★ (0) | 2013.12.12 |
| 미터법과 SI 단위에서 사용되는 접두어 (0) | 2013.10.24 |
| 기체(gas) vs. 증기(vapor) (1) | 2012.09.13 |
댓글