물의 자동이온화와 이온곱 상수, Kw
---------------------------------------------------
▶ 참고: 물의 자동이온화
[ https://ywpop.tistory.com/19786 ]
---------------------------------------------------
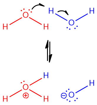
[1] 물의 자동이온화. auto-ionization of water
▶ 순수한 물은 매우 약한 전해질이다.
( 참고 https://ywpop.tistory.com/21807 )
매우 약하긴 해도 전해질이기 때문에,
다음과 같이 물 분자는 극히 일부가 이온화된다.

H2O(l) + H2O(l) ⇌ H3O^+(aq) + OH^-(aq)
이것을 “물의 자동이온화”라고 한다.


[그림] Hydronium ion, H3O^+.
▶ 브뢴스테드 산-염기 개념으로 설명하면,

---> 물의 자체 양성자 이동 (autoprotolysis of water)
( 참고 https://en.wikipedia.org/wiki/Autoprotolysis )
[2] 물의 이온곱 상수, Kw. ionic product of water
▶ 물의 자동이온화 식에서,
H2O(l) ⇌ H^+(aq) + OH^-(aq)
평형 상수는 다음과 같이 나타낼 수 있다.

[ 관련 글 https://ywpop.tistory.com/10463 ] 물의 평형상수, 1.8×10^(-16)
▶ 물 분자는 극히 일부만 이온화하기 때문에, 물의 농도는 거의 변하지 않는다.
따라서 물의 농도를 일정하다고 가정하면(상수로 취급하면),
(1)식은 다음과 같이 나타낼 수 있다.

[상수 × 상수 = 상수]이기 때문에,
평형 상수와 물의 농도의 곱, Kc×[H2O]를 새로운 상수인 Kw로 나타내고,
이 새로운 상수를 “물의 이온곱 상수”라 부르자.
이제 (2)식은 다음과 같이 나타낼 수 있다.

Kw = [H^+] [OH^-]
⇨ 물의 이온곱 상수는 어떤 온도에서,
H^+ 이온의 몰농도와 OH^- 이온의 몰농도의 곱이다.
▶ 25℃, 순수한 물에서,
H^+ 이온의 몰농도와 OH^- 이온의 몰농도는 다음과 같기 때문에,

물의 이온곱 상수의 값은 다음과 같다.

> Kw = [H^+] [OH^-] = (1.0×10^(-7)) (1.0×10^(-7)) = (1.0×10^(-14))
> pH = –log[H^+] = –log(1.0×10^(-7)) = 7
> pOH = –log[OH^-] = –log(1.0×10^(-7)) = 7
> pKw = –log(1.0×10^(-14)) = 14
> pH + pOH = 14
> pKw = 14
> pH + pOH = pKw
[도표] pH of dilute solutions of acids and bases at 25℃

▶ [H^+]가 주어졌을 때, [OH^-] 계산
Kw = [H^+] [OH^-] = 1.0×10^(-14) 이므로,
[OH^-] = (1.0×10^(-14)) / [H^+]
▶ [OH^-]가 주어졌을 때, [H^+] 계산
Kw = [H^+] [OH^-] = 1.0×10^(-14) 이므로,
[H^+] = (1.0×10^(-14)) / [OH^-]
[ 관련 예제 https://ywpop.tistory.com/9199 ]
[ 관련 글 https://ywpop.tistory.com/2706 ] pH 값, 산도의 측정
[ 관련 예제 https://ywpop.tistory.com/16384 ] 750 atm, 200℃로 과열된 물의 Kw = 1.5×10^(-11)
[ 관련 예제 https://ywpop.tistory.com/16669 ] 10℃ 순수한 물의 Kw = 2.9×10^(-15)
[ 관련 글 https://ywpop.tistory.com/15807 ]
공유 결합 화합물의 이온화. 탄소 양이온과 탄소 음이온
[ 관련 글 https://ywpop.tistory.com/7821 ]
평형상수의 단위는 없다
[키워드] 물의 이온곱상수 기준문서, 물의 이온곱 상수 기준문서, 물의 자동이온화 기준문서, Kw 기준문서, 물의 자체이온화 기준문서, 물의 이온곱 기준문서, 물의 자동이온화 사전, 물의 이온곱 상수 사전, 물의 이온곱 사전, 물의 이온곱상수 사전, 이온화될 때 공유 전자쌍을 주고 기준, 이온화될 때 공유 전자쌍을 내놓고 기준, 이온화될 때 공유 전자쌍을 주고 사전, 이온화될 때 공유 전자쌍을 내놓고 사전, 공유 전자쌍을 주고 이온화 기준, 공유 전자쌍을 내놓고 이온화 기준, 공유 전자쌍을 주고 이온화 사전, 공유 전자쌍을 내놓고 이온화 사전, 공유 결합 물질의 이온화 기준, 공유 결합 화합물의 이온화 기준, 공유 결합 물질의 이온화 사전, 공유 결합 화합물의 이온화 사전
'일반화학 > [16장] 산-염기 평형' 카테고리의 다른 글
| 크기가 작고 전하가 큰 금속 양이온과 물의 가수분해 반응 (1) | 2014.12.05 |
|---|---|
| 약산의 초기 농도와 Ka로부터 pH 구하기 예제 (6) | 2014.11.13 |
| 약산 ascorbic acid 용액의 pH. 250 mg / 250 mL (10) | 2014.11.03 |
| 약산의 Ka와 짝염기의 Kb 사이의 관계식, conjugate acid-base pairs ★ (1) | 2014.10.30 |
| pH 11.17인 NH3 용액의 몰농도 (0) | 2014.10.16 |
| pH 값, 산도의 측정 ★ (5) | 2014.07.25 |
| 양쪽성양성자성(amphiprotic) 물질 ★ (2) | 2014.07.24 |
| 짝산, 짝염기, 짝 산-염기 쌍(conjugate acid-base pair) ★ (1) | 2014.07.23 |
댓글