본문 바로가기
반응형

일반화학/[16장] 산-염기 평형514

3가지 인의 산소산의 세기. H3PO2, H3PO3, H3PO4 3가지 인의 산소산의 세기. H3PO2, H3PO3, H3PO4Acidity of oxoacid of phosphorus       3가지 산소산 모두 단 1개의 홀로 있는 산소 원자(free O atom),즉 3가지 산소산 모두 단 1개의 P=O 결합을 갖고 있기 때문에,산의 세기는 비슷할 것으로 예상된다.         그러나 3가지 산소산의 산의 세기는 다르며,이것은 3가지 산소산의 짝염기로 설명할 수 있다.         산소(O) 원자당 음전하가 클수록,음이온(짝염기)과 수소 양이온(H^+) 사이에는더 강한 정전기적 인력이 작용한다.   이로 인해, 산의 이온화는 감소하며,그 결과 약산이 된다.       따라서산의 세기는 다음과 같이 차이가 난다.    H3PO2>H3PO3>H3.. 2015. 8. 28.
CaCl2 수용액의 pH(산도)는 산성 CaCl2 수용액의 pH(산도)는 산성 염화칼슘 수용액은 산성인가요? 염기성인가요? --------------------------------------------------- [참고] 산성염 염기성염 중성염 [ https://ywpop.tistory.com/4300 ] [참고] 강산 강염기 [ https://ywpop.blogspot.com/2023/10/blog-post_21.html ] Ca는 강염기인 Ca(OH)2의 양이온이고, Cl은 강산인 HCl의 음이온이므로, CaCl2는 중성염이다. ---> 염화칼슘 수용액은 중성이다. ---> 이것이 일반적인, 보편적인 생각이다. --------------------------------------------------- [참고] 염화칼슘 수용액은 산성이.. 2015. 8. 10.
0.2 M HCl 50 mL + 0.1 M NaOH 50 mL 용액의 pH는 1.3 0.2 M HCl 50 mL + 0.1 M NaOH 50 mL 용액의 pH는 1.3 0.2 M HCl 용액 50 mL와 0.1 M NaOH 용액 50 mL를 혼합한 용액의 pH는? (단, 생성된 물의 부피는 무시한다.) --------------------------------------------------- HCl(= H^+)의 몰수를 계산하면, (0.2 mmol/mL) × 50 mL = 10 mmol ( 참고 https://ywpop.tistory.com/7787 ) NaOH(= OH^-)의 몰수를 계산하면, (0.1 mmol/mL) × 50 mL = 5 mmol HCl + NaOH → NaCl + H2O HCl : NaOH = 1 : 1 반응하고, HCl의 몰수 > NaOH의 몰수 이므로, 반응 .. 2015. 7. 15.
다양성자성 산. 2양성자성산과 3양성자성산 다양성자성 산. 2양성자성산과 3양성자성산     “2양성자성산”이란 H2CO3처럼 이온화되면,H^+ 이온을 2개 내놓는 산을 말하며,> H2CO3(aq) ⇌ H^+(aq) + HCO3^-(aq)> HCO3^-(aq) ⇌ H^+(aq) + CO3^2-(aq)       “3양성자성산”이란 H3PO4처럼 이온화되면,H^+ 이온을 3개 내놓는 산을 말한다.> H3PO4(aq) ⇌ H^+(aq) + H2PO4^-(aq)> H2PO4^-(aq) ⇌ H^+(aq) + HPO4^2-(aq)> HPO4^2-(aq) ⇌ H^+(aq) + PO4^3-(aq)   [ 관련 예제 https://ywpop.tistory.com/11453 ] 인산 용액의 pH         이온화되면, H^+ 이온을 2개 이상 내놓.. 2015. 6. 28.
0.1 M NH3 용액의 pH. ICE 도표로 계산 ★ 0.1 M NH3 용액의 pH. ICE 도표로 계산 0.1 M 암모니아 용액의 pH 0.1 M 암모니아 용액의 pH는 얼마인가? 단, Ka = 5.70×10^(-10) --------------------------------------------------- Kb값 대신 Ka값이 주어졌기에, 먼저 Kb값을 구해야 한다. Kb값은 다음 관계식으로부터 구할 수 있다. Kw = Ka × Kb ( 참고 https://ywpop.tistory.com/2937 ) Kb = Kw / Ka = (10^(-14)) / (5.70×10^(-10)) = 1.75×10^(-5) 암모니아는 물에서 다음과 같이 이온화된다. NH3(aq) + H2O(l) ⇌ NH4^+(aq) + OH^-(aq) 이 평형 반응을 ICE(초기-변화.. 2015. 6. 12.
크기가 작고 전하가 큰 금속 양이온과 물의 가수분해 반응 크기가 작고 전하가 큰 금속 양이온과 물의 가수분해 반응 --------------------------------------------------- ▶ 참고: 제16장 산-염기 평형. 목차 [ https://ywpop.tistory.com/15336 ] --------------------------------------------------- 예) AlCl3 ⇨ 크기가 작고 전하가 큰 금속 양이온(Al^3+)과 강산의 짝염기(Cl^-)로 이루어진 염은 산성 용액을 만든다. (1) AlCl3를 물에 용해시키면, 다음과 같이 이온화된다. AlCl3(s) + H2O(l) → Al^3+(aq) + 3Cl^-(aq) (2) 이때 생성된 Al^3+ 이온은 물 분자 6개가 수화된 형태, [Al(H2O)6]^3+로.. 2014. 12. 5.
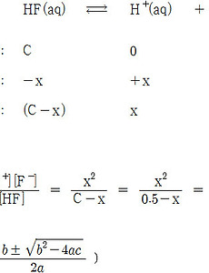
약산의 초기 농도와 Ka로부터 pH 구하기 예제 약산의 초기 농도와 Ka로부터 pH 구하기 예제 [예제 1] 25℃, 0.5 M HF 용액의 pH를 구하시오. HF의 Ka = 6.8×10^(-4) --------------------------------------------------- ▶ 참고: 약산의 초기농도, Ka, pH 관계식 [ https://ywpop.tistory.com/4294 ] --------------------------------------------------- 근의 공식을 이용하여 x를 계산할 수 있지만, 약산의 이온화 결과 생성되는 [H^+], 즉 x 값이 매우 작기 때문에, 0.5 – x ≒ 0.5 로 근사처리하여, 간단히 x를 구할 수 있다. > 단, x 값이 초기 농도의 5% 미만일 경우에만. > 따라서 계산 후 반.. 2014. 11. 13.
약산 ascorbic acid 용액의 pH. 250 mg / 250 mL 약산 ascorbic acid 용액의 pH. 250 mg / 250 mL 아스코브산(ascorbic acid, C6H8O6) 250 mg을 포함하는비타민 C 정제를 250 mL의 물에 용해시켰다.이 용액의 pH는 얼마인가?(아스코브산의 Ka = 8.0×10^(-5), 몰질량 = 176 g/mol) ---------------------------------------------------▶ 참고: 약산의 초기농도, Ka, pH 관계식[ https://ywpop.tistory.com/4294 ]--------------------------------------------------- [1] 아스코브산의 몰농도 계산 [2] 평형에서 수소 이온의 몰농도 계산 .. 2014. 11. 3.
약산의 Ka와 짝염기의 Kb 사이의 관계식, conjugate acid-base pairs ★ 약산의 Ka와 짝염기의 Kb 사이의 관계식. conjugate acid-base pairs       A. 약산의 화학 평형과 Ka (acid dissociation constant)           B. (약산의) 짝염기의 화학 평형과 Kb (base dissociation constant)       [주의] B)의 CH3COO^- 이온은 A)에 나오는 CH3COO^- 이온이 아니다.CH3COONa(aq) → Na^+(aq) + CH3COO^-(aq)( 관련 글 https://ywpop.tistory.com/7215 )   ( 위 반응은 염기 이온화 반응이자, 또한 가수분해 반응이다. )( 염기 이온화 상수, Kb = 가수분해 상수, Kh )         C. 약산의 Ka와 짝염기.. 2014. 10. 30.
pH 11.17인 NH3 용액의 몰농도 pH 11.17인 NH3 용액의 몰농도 pH = 11.17인 NH3 수용액의 몰농도는 얼마인가? 단, NH3의 Kb = 1.8×10^(-5) A solution of NH3 in water has a pH of 11.17. What is the molarity of the solution? --------------------------------------------------- [참고] 약염기와 염기 해리 상수, Kb [ https://ywpop.tistory.com/15325 ] 약염기인 NH3는 물에서 다음과 같이 이온화한다. 위 반응의 평형 상수식, 즉 염기 해리 상수식을 나타내면 다음과 같다. 문제에서 요구하는 NH3 수용액의 몰농도(C)를 구하기 위해서는 x, 즉 평형에서의 수산화 이온(OH.. 2014. 10. 16.
반응형