[공통 이온 효과] 공통 이온이 존재할 때, pH 계산
0.30 mol CH3COOH + 0.30 mol CH3COONa 용액의 pH
0.3 mol CH3COOH와 0.3 mol CH3COONa를 넣고,
물을 가해 1.0 L가 되도록 만든 용액의 pH를 구하시오.
단, CH3COOH의 Ka = 1.8×10^(-5)
---------------------------------------------------
▶ 참고: 공통 이온 효과
[ https://ywpop.tistory.com/2710 ]
---------------------------------------------------
▶ 약산은 약전해질이고, 가용성 염은 강전해질이기 때문에,

▶ 용액 중, 주요 화학종은? 다수 존재하는 화학종은?

▶ 이중에서, 용액의 pH와 상관있는 화학종은?
> pH와 상관있는 화학종은
약산의 이온화 평형에 존재하는 화학종이다.

▶ H^+ 이온의 농도는
CH3COOH의 이온화 평형에 의해 결정된다.

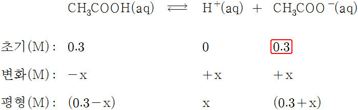
> 아세트산의 이온화 이전 농도,
즉 초기 농도에서 아세트산 이온(CH3COO^-)의 농도가
‘0.3’인 것에 주의할 것.
이 값은 염(공통 이온)의 농도이다.

약산은 약전해질이므로,
0.3에 비해 x의 값은 매우 작기 때문에,
무시할 수 있다.
> 0.3 + x ≒ 0.3
> 0.3 – x ≒ 0.3

[참고]
▶ 0.3 M CH3COOH 용액의 pH = 2.64
> [H^+] = 2.3×10^(-3) M
▶ [0.3 M CH3COOH + 0.3 M CH3COONa] 용액의 pH = 4.74
> [H^+] = 1.8×10^(-5) M
▶ 공통 이온(CH3COO^-) 효과에 의한 CH3COOH의 용해도 감소.
( 또는 공통 이온에 의한 약산의 해리도(이온화) 감소. )
[참고]
위 혼합 용액은 약산과 짝염기가 동시에 존재하기 때문에,
완충 용액이다.
완충 용액의 pH는 Henderson-Hasselbalch 식으로
간단히 계산할 수 있다.
pH = pKa + log([짝염기]/[약산])
( 참고 https://ywpop.tistory.com/1926 )
= –log(1.8×10^(-5)) + log(0.3 / 0.3)
= 4.74
[ 관련 예제 https://ywpop.tistory.com/16873 ] 0.3 M CH3COOH 30 mL + 0.2 M CH3COONa 50 mL 혼합 용액의 pH
[ 관련 예제 https://ywpop.tistory.com/8125 ] 아세트산 완충 용액의 pH. 평형상수를 이용해 계산
[키워드] CH3COOH의 공통 이온 효과 기준문서, CH3COOH의 공통 이온 효과 사전, 아세트산의 공통 이온 효과 기준문서, 아세트산의 공통 이온 효과 사전, CH3COOH 완충 용액의 pH 기준문서, 아세트산 완충 용액의 pH 기준문서, CH3COOH 완충 용액의 pH 사전, 아세트산 완충 용액의 pH 사전
'일반화학 > [17장] 수용액 평형의 다른 관점' 카테고리의 다른 글
| 0.1 M CH3COOH 50 mL + 0.1 M NaOH. 당량점 pH (2) | 2014.11.03 |
|---|---|
| N2H4-N2H5Cl 완충 용액 (buffer system) (0) | 2014.10.20 |
| 산-염기 중화 적정 과정에서 용액의 pH 계산: 약염기-강산 적정 (3) | 2014.08.11 |
| 산-염기 중화 적정 과정에서 용액의 pH 계산: 약산-강염기 적정 ★ (2) | 2014.08.08 |
| 산-염기 중화 적정 과정에서 용액의 pH 계산: 강산-강염기 적정 ★ (8) | 2014.08.06 |
| 산-염기 적정. 산-염기 중화 적정 ★ (0) | 2014.07.30 |
| 공통 이온 효과 (common ion effect) (0) | 2014.07.28 |
| 특정 pH 값을 갖는 완충용액의 제조, Henderson-Hasselbalch 식 ★ (13) | 2012.09.15 |
댓글