열역학 제3법칙과 절대엔트로피
[참고] 제19장 화학 열역학. 목차
[ https://ywpop.tistory.com/16773 ]
▶ 열역학 제3법칙
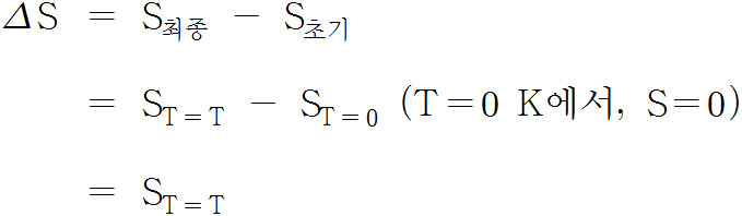
> 순수한 결정질 물질의 엔트로피, S는
절대영도(0 K)에서 0이다.
열역학 제3법칙으로부터,
다른 열역학 함수와 달리,
엔트로피는 절대영도라는 기준점이 있다.
따라서 실험을 통해
모든 물질의 절대값, S를 측정할 수 있다.

298 K(25℃)에서
어떤 물질의 “엔트로피”는 실질적인 값이다.
다른 열역학 함수(내부에너지, 엔탈피, 자유에너지)와 달리,
과학자가 임의로 설정한 기준에서 산출된 값이 아니다.
그래서 “절대엔트로피”라고 부르고,
기호도

[도표] 298.15 K(25℃)에서의 몇 가지 물질의 열역학적 자료

※ 엔탈피의 경우,
“표준 상태에서 가장 안정한 형태로 존재하는
원소의 표준 생성 엔탈피는 영(zero)이다.”
라고 과학자들이 임의로 기준을 설정했다.
( 참고: 표준생성엔탈피 https://ywpop.tistory.com/4416 )
( 참고: 표준생성자유에너지 https://ywpop.tistory.com/7393 )
그래서 알루미늄 원소의 표준 생성 엔탈피는 영(zero)이다.
※ 수화된 F^-(aq), H^+(aq), OH^-(aq)를 제외한
모든 물질의 엔트로피는
절대영도 이상에서 무질서도(운동성)를 갖기 때문에,
항상 양(+)의 값을 갖는다.
[ 관련 글 https://ywpop.tistory.com/18313 ]
열역학 함수는 기준점이 없다

[키워드] 열역학 제3법칙 기준, 열역학 제3법칙 사전
'일반화학 > [19장] 화학 열역학' 카테고리의 다른 글
| 열역학 함수 계산할 때, 절대온도를 사용하는 이유 (0) | 2015.12.14 |
|---|---|
| 비표준 상태에서의 자유에너지. ΔG = ΔG° + RTlnQ (0) | 2015.12.12 |
| 용해 과정에서 용액의 엔트로피 변화 (1) | 2015.10.24 |
| 열역학 제1법칙. 압력-부피 일 (0) | 2015.06.25 |
| ΔG = –nFE. Cr2O7^2-(aq) + 3Sn^2+(aq) + 14H^+(aq) (0) | 2014.12.11 |
| 맥스웰 관계식. Maxwell relations ★ (0) | 2014.11.29 |
| 깁스 자유 에너지(Gibbs free energy), ΔG = ΔH – TΔS 식의 부호 (0) | 2014.11.19 |
| Boltzmann 식. 엔트로피의 통계 열역학적 정의 (0) | 2014.11.07 |
댓글