VSEPR. 결합각이 CH4 > NH3 > H2O 순서로 감소하는 이유
최적화 구조에서 결합각이 CH4 > NH3 > H2O 순서로 감소하는 이유를
VSEPR 이론의 관점에서 설명하시오.
---------------------------------------------------
▶ 참고: 입체수(steric number)와 비결합전자쌍 수에 따른 분자의 기하구조
[ https://ywpop.tistory.com/2571 ]
---------------------------------------------------
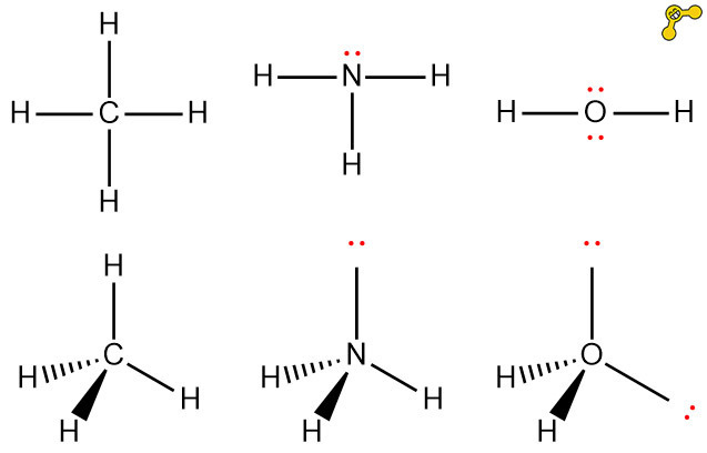
CH4, NH3, H2O, 모두 다 전자 영역 = 4개 이지만,

[그림] CH4 NH3 H2O 루이스 구조와 기하 구조.
( 참고 https://ywpop.tistory.com/15733 )
4개 전자 영역 중, 덩치(size)가 큰,
그래서 전자쌍 사이의 반발력이 더 큰,
그래서 결합각을 감소시키는
비공유전자쌍의 개수는 각각
CH4 = 0개
NH3 = 1개
H2O = 2개
이므로,
결합각은
CH4 > NH3 > H2O 순서로 감소한다.
> CH4 bond angle = 109.5°
> NH3 bond angle = 107°
> H2O bond angle = 104.5°
[참고] 서로 다른 전자쌍들 사이의 반발력 크기
① 비결합전자쌍(lone pair) 간 반발력 >
② 비결합전자쌍과 결합전자쌍 사이의 반발력 >
③ 결합전자쌍 간 반발력 (삼중결합전자 > 이중결합전자 > 단일결합전자)
[ 관련 글 https://ywpop.tistory.com/15197 ] 중심원자의 비공유전자쌍 수와 분자구조. CH4 NH3 H2O
[키워드] CH4 NH3 H2O 결합각 기준문서, CH4 NH3 H2O 루이스 기준문서, CH4 NH3 H2O 기준문서, CH4 NH3 H2O dic
'일반화학 > [09장] 분자의 기하구조와 결합 이론' 카테고리의 다른 글
| MO of CN, CN^+, CN^-. 결합차수와 자기성 (4) | 2020.10.20 |
|---|---|
| ICl2^- 루이스 구조 그리기 (1) | 2020.10.15 |
| C3S2 루이스 구조. C3O2 루이스 구조 (1) | 2020.10.08 |
| 전자의 기하구조와 분자의 기하구조. CH4 NH3 H2O ★ (0) | 2020.10.05 |
| VSEPR. PH3 분자의 기하구조 (0) | 2020.09.28 |
| B2의 MO와 자기성 (0) | 2020.09.24 |
| C2H6의 루이스 구조 (2) | 2020.08.16 |
| 제9장 분자의 기하학적 구조와 결합 이론. 목차 ★ (0) | 2020.08.13 |
댓글