커피컵 열량계를 사용한 ΔH 측정. HCl + NaOH 중화열 측정
- 일정 압력 열계량법 (Constant Pressure Calorimetry)
커피컵 열량계에 1.0 M HCl 50 mL와 1.0 M NaOH 50 mL를 넣고
충분히 혼합했더니, 온도계의 눈금이 21.0℃에서 27.5℃로 상승하였다.
계의 반응 엔탈피 변화를 결정하시오. (단, 용액의 밀도 ≈ 물의 밀도)
---------------------------------------------------
▶ 참고: 산-염기 중화반응과 중화열
[ https://ywpop.tistory.com/3925 ]
> 중화열: 산-염기 중화반응 결과, “H2O(l) 1 mol이 생성될 때 발생하는 열”
▶ 참고: 열용량과 비열
[ https://ywpop.tistory.com/2897 ]
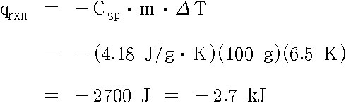
> q = C m Δt
---------------------------------------------------

▶ 일정압력 열계량법: 커피컵 열량계
> 화합물(반응물) = (반응) 계
> 물(수용액) = 주위
> 계가 방출한 열(–q) = 주위가 흡수한 열(+q)
> 물의 온도변화 측정 ⇨ 계의 열변화 측정
> 실험을 통해 우리가 측정/계산한 열은
주위인 물이 흡수한 열(+q)
q_주위 = C m Δt
---> Δt는 주위인 물의 온도변화.
> 반응열(중화열)은 주위가 흡수한 열과
숫자 값은 같고, 부호는 반대.
q_계 = –(C m Δt)

[그림] 발열반응일 때, 계와 주위 사이의 열 흐름.
[용액의 밀도 ≈ 물의 밀도] 이므로,
(50 mL) + (50 mL) = 100 mL ≈ 100 g 용액

( –q : 계가 주위에 가한 열, 발열반응 )

HCl(aq) + NaOH(aq) → NaCl(aq) + H2O(l)
HCl : H2O = 1 : 1 계수비(= 몰수비) 이므로,
H2O의 mol수 = HCl의 mol수
( ∵ 중화열: “H2O(l) 1 mol이 생성될 때 발생하는 열” )
HCl의 mol수 = (1.0 mol/L) × 0.050 L = 0.050 mol
HCl의 mol당 엔탈피 변화를 계산하면,
ΔH = –2.7 kJ / 0.050 mol = –54 kJ/mol
---> 이 엔탈피(반응열) 값은 이 반응이 산-염기 중화반응이므로,
중화열에 해당된다.

[ 그림 출처 ChemWiki ] 커피컵 열량계.
[ 관련 예제 https://ywpop.tistory.com/4525 ] H2SO4 + NaOH 중화열 측정
[ 관련 글 https://ywpop.tistory.com/6986 ] 일정 부피 열계량법. 연소열 측정
[키워드] 커피컵 열량계 기준문서, 일정압력 열계량법 기준문서, 중화열 기준문서, 반응열 기준문서, 반응엔탈피 기준문서, 중화열 측정 기준문서, 반응열 측정 기준문서, 반응엔탈피 측정 기준문서, 커피컵 열량계 사전, 일정압력 열계량법 사전, 중화열 사전, 중화열 측정 사전, 반응열 측정 사전, 반응엔탈피 측정 사전
'일반화학 > [05장] 열화학' 카테고리의 다른 글
| 325 J/℃ 0.900 M HCl 85.0 mL 0.900 M KOH 85.0 mL 18.24℃ (5) | 2015.05.20 |
|---|---|
| 표준생성엔탈피를 이용한 표준반응엔탈피의 계산 ★ (3) | 2015.05.19 |
| 헤스 법칙, Hess’s law ★ (1) | 2015.05.02 |
| 0℃에서 500 mL의 물이 얼음으로 전환될 때 엔탈피 변화량 (0) | 2014.12.15 |
| 반응열과 반응엔탈피의 관계 (0) | 2014.11.18 |
| ΔH 계산. 2Ag(s) + 1/2 O2(g) → Ag2O(s) 헤스 법칙 (1) | 2014.10.22 |
| 열용량과 비열. heat capacity and specific heat ★ (6) | 2014.10.20 |
| 발열 반응 시 계와 주위의 온도 변화 (2) | 2014.10.02 |
댓글