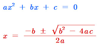
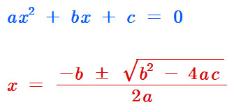
728x170
근의 공식 계산기. Quadratic Equation Calculator
약산 용액의 pH 계산과 근의 공식

근의 공식 계산기를 엑셀 파일로 만들어 봤습니다.
필요하신 분들은 자유로이 다운받아 사용하셔도 됩니다.

근의공식계산기_Quadratic Equation Calculator.xlsx
0.04MB
▶ 약산의 Ka 값과 초기농도로부터 [H^+]와 pH 계산기
약산의 Ka 값과 초기농도만 입력하면,
용액의 [H^+]와 pH를 자동으로 계산해줍니다.
[ 관련 글 https://ywpop.tistory.com/4294 ] 약산의 초기농도, Ka, pH 관계식
[ 관련 예제 https://ywpop.tistory.com/2947 ] 약산 ascorbic acid 용액의 pH 계산
[키워드] 근의 공식 계산기 기준, 근의 공식 기준, 근의 공식 사전
반응형
그리드형(광고전용)
'화학' 카테고리의 다른 글
| 이소옥테인(C8H18) 10 L를 완전 연소시켰을 때 발생하는 CO2의 부피 (3) | 2015.04.16 |
|---|---|
| 단위환산: creatinine 128 mmol/L를 mg/dL로 (0) | 2015.04.14 |
| Henderson-Hasselbalch식 문제: morpholine, HBr (0) | 2015.04.13 |
| Henderson-Hasselbalch식 문제: oxoacetic acid, potassium oxoacetate (1) | 2015.04.13 |
| 포도당 90 g에 포함된 수소 원자는 몇 몰(mol) (2) | 2015.04.11 |
| 열용량 문제: Lithium aluminum hydride, LiAlH4 (0) | 2015.04.10 |
| 수은 300 μg/day, 180 μg/m3, 공기 2×10^4 L, 수은 중독 위험 (1) | 2015.04.10 |
| 6.022×10^23 개 염소 이온(Cl-)을 함유한 MgCl2의 질량 (0) | 2015.04.10 |
댓글