728x170
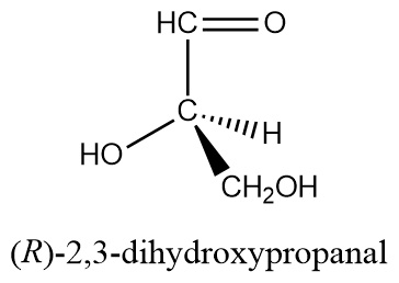
[유기화합물 명명법] (R)-2,3-dihydroxypropanal
---------------------------------------------------
▶ 참고: 비고리형(사슬형) 탄화수소 명명법
[ https://ywpop.tistory.com/13519 ]
---------------------------------------------------

▶ (R)-2,3-dihydroxypropanal
[ 관련 글 https://ywpop.tistory.com/8586 ] R-S 결정. (R)-2,3-dihydroxypropanal
[키워드] (R)-2,3-dihydroxypropanal 기준문서
반응형
그리드형(광고전용)
'일반화학 > [24장] 생명의 화학: 유기화학과 생화학' 카테고리의 다른 글
| 첨가 반응. CH2=CH2 + H2 → CH3–CH3 (2) | 2023.05.25 |
|---|---|
| C4H10O 이성질체. 산소와 결합한 탄소가 1차 탄소 (2) | 2023.05.22 |
| [유기화합물 명명법] 2-bromo-4-chloro-3-ethylpentane (1) | 2023.05.22 |
| [유기화합물 명명법] (R)-2-chloropentane. 4순위인 H가 앞쪽 (4) | 2023.05.15 |
| [유기화합물 명명법] 3-(2-aminoethyl)-1H-indol-5-ol (2) | 2023.05.11 |
| [유기화합물 명명법] (1r,3r)-1,3-dimethylcyclobutane (2) | 2023.05.10 |
| [유기화합물 명명법] (Z)-1-chloro-3-ethyl-4-methylhex-3-ene (2) | 2023.05.10 |
| [유기화합물 명명법] (R)-1,3-dichlorobutane (1) | 2023.05.09 |
댓글