용해도곱상수와 몰용해도. Ksp와 몰용해도
solubility product constant and molar solubility
Ksp and molar solubility, s
---------------------------------------------------
▶ 참고: 용해도곱 상수 [ https://ywpop.tistory.com/2966 ]
▶ 참고: CaF2의 몰용해도 [ https://ywpop.tistory.com/3141 ]
---------------------------------------------------
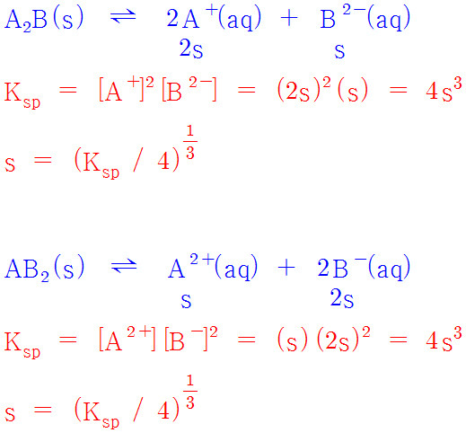
▶ s = 몰용해도
> 단위가 mol/L, 즉 몰농도(M)인 난용성염의 용해도.
---> 난용성염의 용해도를 몰농도 단위로 나타낸 것
> 난용성염의 용해도는 g/L 단위로 나타내기도 한다.
---> 몰용해도 × 난용성염의 몰질량 = g/L
---> (mol/L) × (g/mol) = g/L
[ Case I ]

[ 관련 예제 https://ywpop.tistory.com/16273 ] AgCl의 몰용해도
[ 관련 예제 https://ywpop.tistory.com/2997 ] BaSO4의 Ksp
[ 관련 예제 https://ywpop.tistory.com/12794 ] CaC2O4의 몰용해도
[ Case II ]

[ 관련 예제 https://ywpop.tistory.com/10283 ] Ag2CrO4의 Ksp
[ 관련 예제 https://ywpop.tistory.com/12481 ] Ag2SO4의 몰용해도
[ 관련 예제 https://ywpop.tistory.com/17340 ] Ca(OH)2의 몰용해도
[ 관련 예제 https://ywpop.tistory.com/15989 ] Mg(OH)2의 몰용해도
[ 관련 예제 https://ywpop.tistory.com/12688 ] PbI2의 몰용해도
[ 관련 글 https://ywpop.blogspot.com/2024/09/hg2io32-concentrations-of-hg22-and-io3.html ]
Hg2(IO3)2의 몰용해도
[ Case III ]

[ 관련 예제 https://ywpop.tistory.com/14738 ] Fe(OH)3의 몰용해도
[ 관련 예제 https://ywpop.tistory.com/10424 ] La(IO3)3의 몰용해도
[ Case IV ]

[ 관련 예제 https://ywpop.tistory.com/16311 ] Ca3(PO4)2의 몰용해도
[ 관련 예제 https://ywpop.tistory.com/12628 ] Cu3(PO4)2의 몰용해도
[키워드] 난용성염의 몰용해도 기준, 난용성염의 용해도 기준, 몰용해도 계산 기준, Ksp 계산 기준, Ksp와 몰용해도 기준, 몰용해도와 Ksp 기준, 난용성염의 몰용해도 사전, 난용성염의 용해도 사전, 몰용해도 계산 사전, Ksp 계산 사전, Ksp와 몰용해도 사전, 몰용해도와 Ksp 사전, 몰용해도와 Ksp dic
'일반화학 > [17장] 수용액 평형의 다른 관점' 카테고리의 다른 글
| 인산염 완충용액의 pH. 0.042 M NaH2PO4 + 0.058 M Na2HPO4 (0) | 2018.10.30 |
|---|---|
| 완충용액의 pH. 약산-강염기 중화점 이전. H3PO4 + NaOH (1) | 2018.10.30 |
| Mg(OH)2)의 용해도곱. 90% Mg^2+ 침전시켜 제거 (0) | 2018.10.16 |
| 0.1 M NH4NO3 용액의 pH. pH of 0.1 M NH4NO3 (0) | 2018.02.09 |
| Ag3PO4의 Ksp 계산. 7.5×10^(-3) g/L ★ (0) | 2018.01.13 |
| 0.1 M NH4Cl 용액의 pH (0) | 2018.01.06 |
| 난용성 염의 선택적 침전. PbI2와 CuI (0) | 2017.12.15 |
| 난용성 염의 선택적 침전. AgCl과 PbCl2 (0) | 2017.12.15 |
댓글