728x170
단위에서 ^–1의 의미. ^(–1)의 의미
분모에 있는 단위를 나타내는 방법
---------------------------------------------------
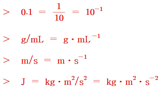
수학식에서,
> 0.1 = 1 / 10 = 10^(–1)
> 0.01 = 1 / 100 = 10^(–2)
이듯이,
단위에서,
> 밀도: g/mL = g•mL^(–1) 또는 g•mL^–1
> 속도: m/s = m•s^(–1) 또는 m•s^–1
> 에너지: 1 J = 1 kg•m^2/s^2 = 1 kg•m^2•s^–2

[키워드] 분모에 있는 단위 기준문서
반응형
그리드형(광고전용)
'일반화학 > [01장] 서론: 물질과 측정' 카테고리의 다른 글
| 1 g/cm^3 = 1000 kg/m^3 (0) | 2022.06.01 |
|---|---|
| 1 W = kgf•m/s (1) | 2022.06.01 |
| 호수의 표면에서 30.0 m 깊은 곳의 압력 (0) | 2022.05.25 |
| 689 torr는 몇 atm인가? (0) | 2022.05.18 |
| 밀도 환산. 리튬의 밀도 5.34×10^2 kg/m3를 g/cm3 단위로 (0) | 2022.04.25 |
| 양동이에 NaOH 2.00 lb. lb mol과 g mol (0) | 2022.04.24 |
| 단위환산. 10 lb•ft/min을 kg•cm/s로 환산 (0) | 2022.04.20 |
| 속도 환산. 150 km/hr을 m/s로 (0) | 2022.04.19 |
댓글