중수소 핵융합. deuterium fusion
---------------------------------------------------
▶ 참고: 핵 반응식 규칙 [ https://ywpop.tistory.com/3094 ]
▶ 참고: 방사성 붕괴의 종류 [ https://ywpop.tistory.com/5541 ]
---------------------------------------------------
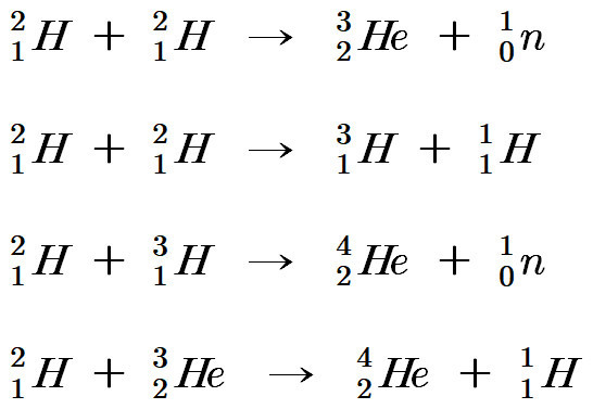
▶ 질량수 보전 (conservation of mass number)
> 반응물의 질량수 합 = 생성물의 질량수 합
▶ 원자번호 보전 (conservation of atomic number)
> 반응물의 원자번호 합 = 생성물의 원자번호 합

[참고] 양성자수 보전
> 반응물의 양성자수 합 = 생성물의 양성자수 합
(2,1)H + (2,1)H → (3,2)He + (1,0)n 반응에서,
> 질량수 보전: 2 + 2 = 3 + 1
> 양성자수 보전: 1 + 1 = 2 + 0
---> 핵반응 전후, 양성자수의 합은 변하지 않는다.
[ 관련 글 https://ywpop.tistory.com/471916 ]
핵반응 전후, 양성자수의 합이 변하는 경우
[ 관련 글 https://ywpop.tistory.com/7405 ] 수소의 동위원소
[ 관련 글 https://ywpop.tistory.com/16329 ] 핵융합 발전. 태양 에너지의 원천
[키워드] 중수소 핵융합 기준문서, 중수소 기준문서, 중성자 기준문서, 중수소 핵융합 반응 기준문서, 중수소 핵융합 반응식 기준문서, 핵 반응식 기준문서, 중수소 핵융합 사전, 중수소 사전, 중성자 사전, 중수소 핵융합 반응 사전, 중수소 핵융합 반응식 사전, 핵 반응식 사전
'일반화학 > [21장] 핵화학' 카테고리의 다른 글
| 베타 붕괴에 대한 설명으로 옳은 것. 질량수는 변하지 않는다 (0) | 2021.03.02 |
|---|---|
| β붕괴의 에너지 (0) | 2021.03.02 |
| 제21장 핵화학. 목차 ★ (0) | 2020.12.29 |
| 중성자로 우라늄-235 핵분열. 주석-130 4개 중성자 방출 (0) | 2020.12.12 |
| 방사성 화학종의 반감기. t_1/2. decays 160 to 20 in 30 min (0) | 2020.12.09 |
| 핵 반응식의 규칙. (6)(4)Be → x + 2(1)(1)H (0) | 2020.12.05 |
| 핵융합 발전. 태양 에너지의 원천 (0) | 2020.11.25 |
| 방사성 붕괴 사슬. Radioactive Series (0) | 2020.09.30 |
댓글